| 三相异步电动机的定、转子电路分析 |
| 来源:互联网 时间:2007-8-8 9:14:44 用手机浏览 |
|
4.3.1 定子电路分析 |
|
|
|
| 定子由铁心、绕组与机座三部分组成;定子铁心是电动机磁路的一部分,它是由0.5mm的硅钢片叠压而成,片与片之间是绝缘的。定子绕组是电动机的电路部分,由许多线圈连接而成,每个线圈有两个有效边分别放在两个槽里。三相对称绕组AX,BY,CZ可连接成星型或三角形。 |
|
定子每相绕组中产生的感应电动势为: |
 |
|
有效值为: |
 |
|
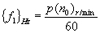
定子电动势或电流的频率: |
 |
|
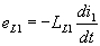
漏磁电动势: |
 |
|
定子每相绕组上的电压为: |
 |
| 式中,R1和X1(X1=2πf1LL1)——定子每相绕组的电阻和漏磁感抗。 |
|
|
|
|
|
|
|
|